next up previous
Next: EXAMPLES, TEMPERATURE FROM GF Up: Laplace and Helmholtz Equation Previous: Steady, 1-D Body, Rectangular

Steady, General Case

Consider steady heat transfer in any orthogonal coordinate system:

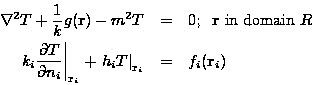
\begin{eqnarray*}
\nabla ^{2}T+\frac{1}{k}g(\mathbf{r})-m^{2}T &= \; \mathbf{r}
...
...ft. h_{i}T\right\vert _{\mathbf{r}_{i}} &=&f_{i}(\mathbf{r}_{i})
\end{eqnarray*}

where $\mathbf{r}_{i}$ is located on surface $S_{i}$. The boundary condition is type 3; heat transfer coefficient $h_{i}$ can vary with position on surface $S_{i}$ but is independent of temperature. Boundary conditions of type 1 and 2 may be obtained from the above boundary condition can be obtained by setting $k_{i}=0$ or $h_{i}=0$, respectively.

The Green's function solution equation for steady temperature $T(\mathbf{r})$ is given by:

\begin{eqnarray*}
T(\mathbf{r},t) &=&\frac{1}{k}\int_{R^{\prime }}g(\mathbf{r}^{...
...bf{r}_{j}}ds_{j}^{\prime } \; \;\mbox{(for b.c. of type 1 only)}
\end{eqnarray*}

See Table 1 (under Heat Equation, General Case) for $ds$ and $dv$ for various geometries in rectangular, cylindrical, and spherical coordinates.



2004-01-31