next up previous
Next: Steady, General Case Up: Laplace and Helmholtz Equation Previous: Laplace and Helmholtz Equation

Steady, 1-D Body, Rectangular Coordinates

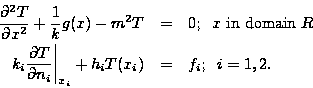
Consider steady heat conduction in a one-dimensional body, rectangular coordinates:

\begin{eqnarray*}
\frac{\partial ^{2}T}{\partial x^{2}}+\frac{1}{k}g(x)-m^{2}T &...
...n_{i}}\right\vert _{x_{i}}+h_{i}T(x_{i})
&=& f_{i}; \; \; i=1,2.
\end{eqnarray*}

The 1-D rectangular Green's function solution equation for the steady temperature $T(x)$ is given by:

\begin{eqnarray*}
T(x,t) &=&\frac{1}{k}\int_{x^{\prime }}g(x^{\prime })G(x \lef...
... _{x^{\prime }=x_{i}}\right] \; \mbox{(for b.c. of type 1 only)}
\end{eqnarray*}



2004-01-31